顏色色彩管理、配色

色差儀分光測色儀七個常用的色差公式類型
色差儀分光測色儀不僅可以對顏色進行測量,還可以比較色樣之間的顏色差異,并經過儀器內置的色差公式計算出兩個色樣的顏色差值值,這個差異值一般用△E表示。本文對色差儀分光測色儀七個常用的色差公式類型做了介紹。

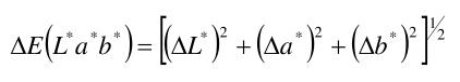
1.ΔE*ab色差公式
ΔE*ab色差公式基于CIELAB顏色空間,CIELAB是一種均勻顏色空間,L代表明度,范圍從0(黑色)到100(白色);a表示紅綠色度,正值為紅色方向,負值為綠色方向;b*表示黃藍色度,正值為黃色方向,負值為藍色方向。該公式通過計算兩個顏色在這三個維度上的差值平方和的平方根,來衡量顏色差異,其表達式為:

該色差公式計算簡單直觀,容易理解和應用,在許多工業領域的顏色質量控制中廣泛使用。但該色差公式在某些顏色區域,尤其是低飽和度或色調變化較大的區域,與人眼實際的顏色感知差異存在不一致,可能導致對顏色差異的評估不準確。
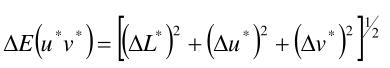
2.ΔE*uv色差公式
ΔE*uv色差公式基于CIELUV顏色空間,L同樣表示明度,u和v*是色度坐標,其通過計算這三個坐標的差值平方和的平方根得到色差。相比CIELAB顏色空間下的公式,其應用范圍相對較窄。其表達式為:

CIELUV顏色空間有一定優勢,該公式能較好地適應這些領域對顏色差異的計算需求。相比CIELAB顏色空間下的公式,其應用范圍相對較窄,在其他傳統工業顏色控制領域使用較少。
3.ΔE*94色差公式
ΔE*94色差公式基于CIELAB顏色空間,是CIE在1994年提出的改進公式。考慮了不同顏色區域人眼對顏色差異的敏感度不同,引入了權重因子,其表達式為:

其中C*ab=[(a*)2+(b*)2]1/2表示彩度,H*ab為色調差,kL、kC、kH是根據應用場景設定的常數(一般在紡織應用中,kL=1,kC=kH=2),SL、SC、SH是與顏色相關的權重函數。
在紡織、印染等行業中,對于小色差的評估比ΔE*ab更符合人眼視覺特性,提高了顏色差異評估的準確性。但該公式相對復雜,計算量較大,且權重因子的選擇需要根據具體應用場景確定,增加了使用的難度。
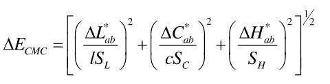
4.ΔEcmc(l:c)色差公式
ΔEcmc(l:c)基于CIELAB顏色空間,由英國染色師和配色師協會(CMC)提出。公式為:

其中2:1和1:1表示不同的權重比例,2:1中彩度的權重相對較大(常用于紡織行業,更注重顏色的鮮艷度差異);1:1對明度、彩度和色調的權重相對較為平均。SL、SC、SH是與顏色相關的權重函數。
ΔEcmc(l:c)色差公式與人眼視覺感知有很好的一致性,能更準確地反映人對顏色差異的主觀感受,在顏色質量控制和顏色匹配中表現出色。廣泛應用于紡織、印染、涂料等行業對顏色差異要求較高的質量控制、顏色配方調整和顏色評估等場景。
5.ΔE*00色差公式
ΔE*00色差公式基于CIELAB顏色空間的進一步改進,是目前公認與人眼視覺感知一致性最好的色差公式,公式為:

△E*00公式它全面考慮了顏色的色調、彩度、明度以及視覺適應等多種因素對色差計算的影響。包含了復雜的計算和多個修正項,通過對這些因素的綜合處理來準確計算顏色差異。在各種顏色區域都能更準確地模擬人眼對顏色差異的感知,大大提高了顏色差異評估的準確性,適用于高端顏色質量控制、顏色科學研究等對精度要求極高的領域。
6.DINΔE99色差公式
DINΔE99色差公式基于CIELAB顏色空間,由德國標準化學會(DIN)提出,其公式為:

DINΔE99色差公式對CIELAB顏色空間下的色差計算進行了改進,旨在減少在不同顏色區域的計算誤差,更好地匹配人眼對顏色差異的感知。該色差公式在德國及一些歐洲工業標準中被采用,對于符合其標準要求的顏色評估具有較好的準確性和一致性。應用范圍相對局限于遵循德國及相關歐洲標準的行業和領域,通用性不如一些國際廣泛認可的公式。
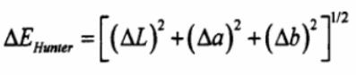
7.ΔE(Hunter)色差公式
ΔE(Hunter)色差公式基于HunterLab顏色空間,該空間由L(明度)、a(紅綠色度)、b(黃藍色度)三個參數構成,公式為:

ΔE(Hunter)色差公式通過計算這三個參數的差值平方和的平方根來確定顏色差異。該色差公式計算相對簡單,對測量設備和計算要求較低,在一些對精度要求不是極高的工業應用中容易使用。相比其他基于更現代顏色空間的公式,其顏色差異評估的準確性和與人眼視覺感知的一致性較差。