顏色色彩管理、配色
咨詢熱線:400-888-5135 020-82880288

CIELab色度系統與CIEXYZ色度系統轉換關系
信息來源:三恩時品牌廠家
瀏覽次數:332
發表時間:2025-08-05
色度系統是對顏色進行定量描述的標準色度系統,CIELab色度系統是以CIEXYZ色度系統為基礎,通過非線性變換而得到的一個均勻的表色系統,是國際照明委員會推薦的通用的表色系統。本文對CIELab色度系統與CIEXYZ色度系統轉換關系做了介紹。

CIELab色度系統介紹:
CIEL*a*b*色度空間也稱為CIELAB色系統是一種基于赫林四色對立學說原理的心理色度空間,心理色度a*和心理色度b*包含有(X-Y)和(Y-Z)項。用縱坐標L*軸來表示顏色的明度感覺,位于最下端的為明度L*=0的黑色,位于最上端的為明度L*=100的白色,其明度值最大。彩色的特征用a*軸和b*軸來共同表示,a*軸為紅綠軸,其中a*軸正方向各值的不同表示紅色(偏品紅)的變化,a*軸
負方向各值的不同表示綠色的變化;b*軸為黃藍軸,其中b*軸正方向各值的不同表示黃色的變化,b*軸負方向各值的不同表示藍色的變化;C*為顏色的彩度,C*=(a*2+b*2)1/2,表示明度到色度空間某一點的水平徑向距離,C*越大,表明色彩的飽和度越大。
CIELab色度系統與CIEXYZ色度系統轉換關系:
CIEL*a*b*與CIEXYZ的非線性轉換關系分為兩種情況,下面分別介紹:
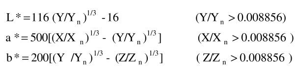
1.當X/Xn或Y/Yn或Z/Zn大于0.008856時,L*和a*、b*的表達式為:

式中X、Y、Z為顏色樣品的三刺激值(在三色系統中,與待測光達到色匹配所需的三種原刺激的量);Xn、Yn、Zn為標準照明體照射在完全漫反射體上,再經過完全漫反射體反射到觀察者眼中的白色刺激的三刺激值,可由相關標準直接查得;L*稱為明度指數,a*、b*稱為色品指數。
2.當X/Xn或Y/Yn或Z/Zn小于0.008856時,L*和a*、b*的表達式為:
